Logo
Explore Help
Register Sign In
ThaMunsta/itflow
1
0
Fork 0
You've already forked itflow
Code Issues Pull Requests Actions Packages Projects Releases Wiki Activity
Files
cec218d9e237d3cc26221e964ad4f2f9d4e08930
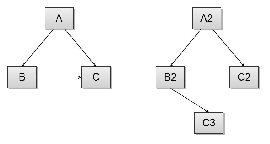
itflow/vendor/myclabs/deep-copy/doc/deep-clone.png
T
root 4ba961e533 Bunch of changes including mpdf library for creating pdf of invoices. It now attaches a PDF invoice when marked sent. Don't mark invoice_status sent if it partial or paid, removed green text from balance under clients only use red if the client has a balance and some other cleanups were done
2019-04-13 21:34:25 -04:00

14 KiB
940x504px
Raw History

/ThaMunsta/itflow/raw/commit/cec218d9e237d3cc26221e964ad4f2f9d4e08930/vendor/myclabs/deep-copy/doc/deep-clone.png
Reference in New Issue View Git Blame Copy Permalink
Powered by Gitea Version: 1.26.0 Page: 25ms Template: 1ms
Auto
English
Bahasa Indonesia Deutsch English Español Français Gaeilge Italiano Latviešu Magyar nyelv Nederlands Polski Português de Portugal Português do Brasil Suomi Svenska Türkçe Čeština Ελληνικά Български Русский Українська فارسی മലയാളം 日本語 简体中文 繁體中文(台灣) 繁體中文(香港) 한국어
Licenses API