DeepCopy
DeepCopy helps you create deep copies (clones) of your objects. It is designed to handle cycles in the association graph.
You are browsing the 1.x version, this version is in maintenance mode only. Please check the new 2.x version.
Table of Contents
How?
Install with Composer:
composer require myclabs/deep-copy
Use simply:
use DeepCopy\DeepCopy;
$copier = new DeepCopy();
$myCopy = $copier->copy($myObject);
Why?
- How do you create copies of your objects?
$myCopy = clone $myObject;
- How do you create deep copies of your objects (i.e. copying also all the objects referenced in the properties)?
You use __clone() and implement the behavior
yourself.
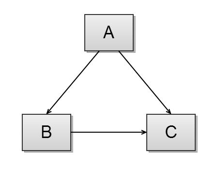
- But how do you handle cycles in the association graph?
Now you're in for a big mess :(
Using simply clone
Overridding __clone()
With DeepCopy
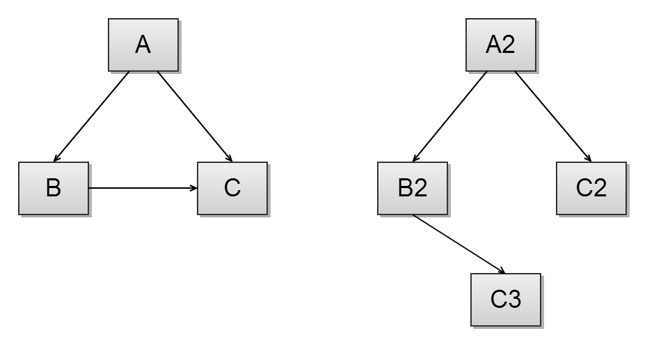
How it works
DeepCopy recursively traverses all the object's properties and clones them. To avoid cloning the same object twice it keeps a hash map of all instances and thus preserves the object graph.
To use it:
use function DeepCopy\deep_copy;
$copy = deep_copy($var);
Alternatively, you can create your own DeepCopy instance to configure it differently for example:
use DeepCopy\DeepCopy;
$copier = new DeepCopy(true);
$copy = $copier->copy($var);
You may want to roll your own deep copy function:
namespace Acme;
use DeepCopy\DeepCopy;
function deep_copy($var)
{
static $copier = null;
if (null === $copier) {
$copier = new DeepCopy(true);
}
return $copier->copy($var);
}
Going further
You can add filters to customize the copy process.
The method to add a filter is DeepCopy\DeepCopy::addFilter($filter, $matcher),
with $filter implementing DeepCopy\Filter\Filter
and $matcher implementing DeepCopy\Matcher\Matcher.
We provide some generic filters and matchers.
Matchers
DeepCopy\Matcherapplies on a object attribute.DeepCopy\TypeMatcherapplies on any element found in graph, including array elements.
Property name
The PropertyNameMatcher will match a property by its name:
use DeepCopy\Matcher\PropertyNameMatcher;
// Will apply a filter to any property of any objects named "id"
$matcher = new PropertyNameMatcher('id');
Specific property
The PropertyMatcher will match a specific property of a specific class:
use DeepCopy\Matcher\PropertyMatcher;
// Will apply a filter to the property "id" of any objects of the class "MyClass"
$matcher = new PropertyMatcher('MyClass', 'id');
Type
The TypeMatcher will match any element by its type (instance of a class or any value that could be parameter of
gettype() function):
use DeepCopy\TypeMatcher\TypeMatcher;
// Will apply a filter to any object that is an instance of Doctrine\Common\Collections\Collection
$matcher = new TypeMatcher('Doctrine\Common\Collections\Collection');
Filters
DeepCopy\Filterapplies a transformation to the object attribute matched byDeepCopy\MatcherDeepCopy\TypeFilterapplies a transformation to any element matched byDeepCopy\TypeMatcher
SetNullFilter (filter)
Let's say for example that you are copying a database record (or a Doctrine entity), so you want the copy not to have any ID:
use DeepCopy\DeepCopy;
use DeepCopy\Filter\SetNullFilter;
use DeepCopy\Matcher\PropertyNameMatcher;
$object = MyClass::load(123);
echo $object->id; // 123
$copier = new DeepCopy();
$copier->addFilter(new SetNullFilter(), new PropertyNameMatcher('id'));
$copy = $copier->copy($object);
echo $copy->id; // null
KeepFilter (filter)
If you want a property to remain untouched (for example, an association to an object):
use DeepCopy\DeepCopy;
use DeepCopy\Filter\KeepFilter;
use DeepCopy\Matcher\PropertyMatcher;
$copier = new DeepCopy();
$copier->addFilter(new KeepFilter(), new PropertyMatcher('MyClass', 'category'));
$copy = $copier->copy($object);
// $copy->category has not been touched
DoctrineCollectionFilter (filter)
If you use Doctrine and want to copy an entity, you will need to use the DoctrineCollectionFilter:
use DeepCopy\DeepCopy;
use DeepCopy\Filter\Doctrine\DoctrineCollectionFilter;
use DeepCopy\Matcher\PropertyTypeMatcher;
$copier = new DeepCopy();
$copier->addFilter(new DoctrineCollectionFilter(), new PropertyTypeMatcher('Doctrine\Common\Collections\Collection'));
$copy = $copier->copy($object);
DoctrineEmptyCollectionFilter (filter)
If you use Doctrine and want to copy an entity who contains a Collection that you want to be reset, you can use the
DoctrineEmptyCollectionFilter
use DeepCopy\DeepCopy;
use DeepCopy\Filter\Doctrine\DoctrineEmptyCollectionFilter;
use DeepCopy\Matcher\PropertyMatcher;
$copier = new DeepCopy();
$copier->addFilter(new DoctrineEmptyCollectionFilter(), new PropertyMatcher('MyClass', 'myProperty'));
$copy = $copier->copy($object);
// $copy->myProperty will return an empty collection
DoctrineProxyFilter (filter)
If you use Doctrine and use cloning on lazy loaded entities, you might encounter errors mentioning missing fields on a
Doctrine proxy class (...\__CG__\Proxy).
You can use the DoctrineProxyFilter to load the actual entity behind the Doctrine proxy class.
Make sure, though, to put this as one of your very first filters in the filter chain so that the entity is loaded
before other filters are applied!
use DeepCopy\DeepCopy;
use DeepCopy\Filter\Doctrine\DoctrineProxyFilter;
use DeepCopy\Matcher\Doctrine\DoctrineProxyMatcher;
$copier = new DeepCopy();
$copier->addFilter(new DoctrineProxyFilter(), new DoctrineProxyMatcher());
$copy = $copier->copy($object);
// $copy should now contain a clone of all entities, including those that were not yet fully loaded.
ReplaceFilter (type filter)
- If you want to replace the value of a property:
use DeepCopy\DeepCopy;
use DeepCopy\Filter\ReplaceFilter;
use DeepCopy\Matcher\PropertyMatcher;
$copier = new DeepCopy();
$callback = function ($currentValue) {
return $currentValue . ' (copy)'
};
$copier->addFilter(new ReplaceFilter($callback), new PropertyMatcher('MyClass', 'title'));
$copy = $copier->copy($object);
// $copy->title will contain the data returned by the callback, e.g. 'The title (copy)'
- If you want to replace whole element:
use DeepCopy\DeepCopy;
use DeepCopy\TypeFilter\ReplaceFilter;
use DeepCopy\TypeMatcher\TypeMatcher;
$copier = new DeepCopy();
$callback = function (MyClass $myClass) {
return get_class($myClass);
};
$copier->addTypeFilter(new ReplaceFilter($callback), new TypeMatcher('MyClass'));
$copy = $copier->copy([new MyClass, 'some string', new MyClass]);
// $copy will contain ['MyClass', 'some string', 'MyClass']
The $callback parameter of the ReplaceFilter constructor accepts any PHP callable.
ShallowCopyFilter (type filter)
Stop DeepCopy from recursively copying element, using standard clone instead:
use DeepCopy\DeepCopy;
use DeepCopy\TypeFilter\ShallowCopyFilter;
use DeepCopy\TypeMatcher\TypeMatcher;
use Mockery as m;
$this->deepCopy = new DeepCopy();
$this->deepCopy->addTypeFilter(
new ShallowCopyFilter,
new TypeMatcher(m\MockInterface::class)
);
$myServiceWithMocks = new MyService(m::mock(MyDependency1::class), m::mock(MyDependency2::class));
// All mocks will be just cloned, not deep copied
Edge cases
The following structures cannot be deep-copied with PHP Reflection. As a result they are shallow cloned and filters are not applied. There is two ways for you to handle them:
- Implement your own
__clone()method - Use a filter with a type matcher
Contributing
DeepCopy is distributed under the MIT license.
Tests
Running the tests is simple:
vendor/bin/phpunit






